ANSWER KEY -
Multiple Choice questions:
1. (a) 5 times
Hint:
10 = 5 × 2
2. (a) 2: 3
Hint:
80000 = 2 × 40000
3. (a) 2:3
Hint:
20/30=2/3= 2: 3
4. (a) 1:2
Hint:
25/(25+25 )=25/50 = 12 = 1: 2
5. (b) 5:4
Hint:
150/120 = 15/12 = 5/4 = 5: 4
6. (a)
Hint:
50,000/3,00,000 = 1/6 = 1: 6
7. (b) 3:1
Hint:
6/2 = 3/1 = 3: 1
8. (d) 5:4.
Hint:
50/40 = 5/4 = 5: 4
9. (a) 2:5
Hint:
1 m = 100 cm
40/100 = 2/5 = 2: 5
10. (a) 1:2
Hint:
4/8 = 1/2 = 1: 2
11. (c) 6: 9
Hint:
2: 3 = 2/3= (2×3)/(3×3) = 6/9= 6: 9
12. (a) 1:2
Hint:

13. (d) 3: 2
Hint:
12: 8 = 12/8= (12÷4)/(8÷4) = 3/2= 3: 2
14. (c) 1: 25
Hint:
20: 500 = 20/500=1/25= 1: 25
15. (b) 5:12
Hint:
1 hour = 60 minutes
25: 60 = 25/60=5/12= 5: 12
Match The Following:

Fill in the blanks:
1. If 4, a, a, 36 are in proportion then a is equal to 12.
2. 32 m: 64 m:: 6 Sec: 12 Sec.
3. 5: 4 = 30: 24.
4. If a = 2b then a: b = 2: 1.
True /False:
1. True
2. False
3. True
4. False
Very Short Answer:
1. X: 6 = 25: 5
2. It is given that
Weight of 25 copies = 5 kg
∴ Weight of 1 copy = 5 ÷ 25 = 1/5 kg
∴ Weight of 30 copies = 30 ×1/5= 6 kg
3. 45km: 60km = 45/60 = (45÷15)/(60÷15) [∴ H.C.F.(45, 60) = 15] = 3/4 = 3: 4
12 hours: 15 hours = 12/15=(12÷3)/(15÷3 ) [∴H.C.F.(12, 15) = 3] =4/5=4:5
Since, the two ratios are not equal, therefore the given statement is false(F).
4. 24: 27 = 24/27=(24÷3)/(27÷3) [∴H.C.F.(24, 27) = 3] = 8/9=8:9
8: 9 = 24: 27
∴ 8: 9:: 24: 27 is true(T).
5. 7.5 liter: 15 liter

6.
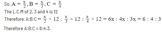
7. Let 2A = 3B = 4C = x

8. The given numbers are not in the same units. So, converting them into same units.
1.5 m = 1.5 × 100 cm = 150 cm
[∵ 1 m = 100 cm]
∴ The required ratio is 75 cm: 150 cm.

∴ Required ratio = 1: 2
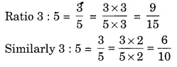
9.

Thus, 9: 15 and 6: 10 are the two equivalent ratios of 3: 5.
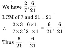
10.
Short Answer:
1.

∴ They are equivalent ratios.
2. Sum = 2 + 3 = 5
∴ First part = 2/5 × 60 =24 5
∴ Second part =3/5 × 60 =36 5
Thus, the required two parts = 24 and 36.
3.
4. Total money deposited = ₹ 2050
Amount of money withdrawn = ₹ 410
Amount of money left in the bank = ₹ 2050 – ₹ 410 = ₹ 1640
(a) Ratio of money withdrawn to the total money deposited

∴ Required ratio = 1: 5
(b) Ratio of money withdrawn to the money left in the bank

∴ Required ratio = 1: 4
5. Total number of students = 180
Number of girls = 75
Number of boys = 180 – 75 = 105
∴ Ratio of number of girls to the number of boys

Required ratio = 5: 7
6. Here, sum of ratios = 2 + 7 + 1 = 10
∴ Total quantity of green paint = 64 litres
Quantity of blue paint =2/10× 64 = 12.8 litres
Therefore, the required blue paint = 12.8 litres.
7. (a) Number of squares = 2
Number of triangles = 3 2
∴ Ratio =2/3 or 2: 3
(b) Number of circles = 3
Number of rectangles = 3
∴ Ratio =3/3 or 1: 1
Long Answer:
1. (a) Number of shaded parts = 4
Number of unshaded parts = 12

Required ratio = 1: 3
(b) Number of shaded parts = 2
Number of unshaded parts = 4

Required ratio = 1: 2
2. We have 20, 25, 12, 15
Product of extremes = 20 × 15 = 300
Product of middles = 25 × 12 = 300
Since both the products are same.
∴ The four numbers 20, 25, 12, 15 are in proportion.
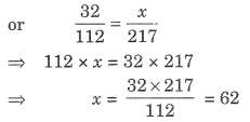
3. Let the third term be x.
∴ 32, 112, x and 217 are in proportion.
∴ 32: 112:: x: 217

Thus, the third term = 62.
4. (a) Since 8, x, x, 50, are in proportion.
∴ x × x = 8 × 50
⇒ x2 = 400
∴ x = 20
(b) Since 36, 90, 90, x are in proportion.
∴ 36 × x = 90 × 90
⇒x=(90×90)/36=225
∴ x = 225
5. Number of tables purchased in ₹ 7500 = 10
Number of tables purchased in ₹ 1 =10/7500
∴ Number of tables purchased in ₹ 9000
=(10×9000)/75000=12
6. Number of pens in 1 packet = 12
Number of pens in 39 packets = 12 × 39 = 468
Number of pens in 1 packet = 10
Number of pens in 52 packets = 10 × 52 = 520
Now cost of 468 pen = ₹ 374.40

Assertion and Reason Answers:
(1) (a) A is false but R is true
(2) (b) Both A and R are true and R is the correct explanation of A