Important Questions
Multiple Choice questions:
Q.1. 2/5+3/10+11/20 is equal to:
Q. 2. Which of these makes a whole?
(a) One half
(b) Two halves
(c) 3 halves
(d) 5 halves
Q.3. Give a proper fraction whose numerator is 5 and denominator is 7.

Q.4. Mixed fraction 2 3/19 as improper fraction is:

Q.5. What is the simplified form of the product and 12/24 and 36/72

Q.6. The identity (x + 3) (x + 4) = x2 + 7x + 12 is true for
(a) Two values of x
(b) One value of x
(c) All value of x
(d) None of Above
Q.7. What do you call fractions with different denominators?
(a) Like fractions
(b) Unlike fractions
(c) Proper fractions
(d) Improper fractions
Q.8. If the numerator and denominator of a fraction are equal then the fraction is:
(a) less than 1
(b) equal to 1
(c) greater than 1
(d) none of these
Q.9. Mixed fraction of 17/9 is:

Q.10. A fraction with numerator 1 is called:
(a) like fraction
(b) proper fraction
(c) unit fraction
(d) mixed fraction
Q.11. A two-digit number is such that the product of the digits is 8. When 18 is
added to the number, then the digits are reversed. The number is:
(a) 18
(b) 24
(c) 42
(d) 81
Q.12. A __________ is a number representing part of a whole.
(a) Decimal
(b) Proper fraction
(c) Fraction
(d) None of these
Q.13. By how much is 19/20 greater than 2/20 ?

Q.14. What is the fractional form of five eighteenths?

Q.15. What fraction of an hour is 40 minutes?
(a) 1
(b) 1/3
(c) 2/3
(d) None of these
Match The Following:

Fill in the blanks:
There is a large box of 36 small square boxes.
1. 1/2 of it is _____.
2. 2/3 of it is _____.
3. If I make a bench of 20 small boxes, the fraction becomes _____.
4. _____ boxes are required if fraction is 5/6.
True /False:
1. If a and b are any two integers such that a > b, then -a > – b.
2. In 3/7, 3 is the part of whole.
3. On a number line, 2/7 is to the right of zero.
4. 2/5 is smaller than 1/5.
5. 28/45 and 3/5 represent equivalent fractions.
Very Short Questions:
1. Solve: 16/5–7/5
2. Colour the part according to 3/4.
3. Find the equivalent fraction 3/5 having numerator 2/7.
4. Rewrite the fractions in the simplest form
(a) 8/6
(b) 44/72
5. Express the following as mixed fraction: 19/6
6. Show 10/10 on the number line.
7. Find the missing entries in the tables:

8. Represent the following fractions on number line.

9. Write the fractions showing the shaded portions:

10. Write all the natural numbers from 1 to 15. What fraction of them are prime numbers?
Short Questions:
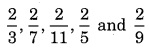
1. Write the following fractions in ascending order:

2. Write any
(a) three proper and three improper fractions with denominator 7.
(b) two proper and two improper fractions with numerator 9.
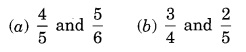
3. Compare the following fractions:

4. Find the sum of 1 2/3 and 3 2/5 .
5. Subtract 2 3/4 from 4 1/8.
6. Insert > or < to make each of the following true.

Long Questions:
1. Find the difference between the greatest and the smallest fractions.

2. Simran painted 2/3 of the wall space in her room. Her brother Rahul helped and painted 1/5 of the
wall space. How much did they paint together? What part of the whole space is left unpainted?
Assertion and Reason Questions:
(1.) Assertion (A) – 3/7 is obtained when we divide a whole into seven equal parts and take three parts
Reason (R) – a fraction is a number representing part of a whole.
(a) Both A and R are true and R is the correct explanation of A
(b) Both A and R are true but R is not the correct explanation of A
(c) A is true but R is false
(d) A is false but R is true
(2.) Assertion (A) – 5/2 is obtained when we divide a whole into five equal parts and three parts
Reason (R) – a fraction is a number representing part of a whole.
(a) Both A and R are true and R is the correct explanation of A
(b) Both A and R are true but R is not the correct explanation of A
(c) A is true but R is false
(d) A is false but R is true