ANSWER KEY
Multiple Choice questions:
1. (a) 0.3
2. (a) 20.2
3. (a) 101
4. (a) 12.1
5. (a) 0.2
6. (b) 1.2
7. (b) 2.2
8. (b) 1.1
9. (c) 2.5
10. (a) 0.6
11. (a) 2.1
12. (b) 3.2
13. (b) 2/5
14. (c) 3/2
15. (a) 16/5
Match The Following:
Fill in the blanks:

True /False:
1. True
2. True
3. False
4. True
Very Short Answer:
1. The given decimal numbers are like decimals. By checking the digits before decimal, we observe that
9.10 is largest of given numbers. Among the remaining numbers, by checking the tenths place, we observe
that 8.06 is the least. Out of remaining numbers, by checking the hundredths place, we observe that 8.57
is bigger than 8.51. So, by arranging the given numbers from big to small, we have,
⇒ 9.10, 8.57, 8.51, 8.06
2. 6/100=0.06
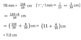
1 mm =1/10 cm
3. 30 mm =30/10 cm
3 cm = 3.0 cm
4. We know that 1.1 is more than one but less than two. There is one-tenth in it. Divide the unit length
between 1 and 2 into 10 equal parts and take 1 part as shown below:
5.

6.

7.

8. 5 Hundreds + 3 Tens + 8 Ones + 4 Tenths
= 5 × 100 + 3 × 10 + 8 × 1 + 4 × 1/10
= 500 + 30 + 8 + 4/10
= 538 + 4/10 = 538.4
9.

10.

Short Answer:
1.
A represents 1.3
B represents 3.8
and C represents 4
2.
3. LCM of 10, 50, 5 and 20 = 100

4. (a) 27.65
(b) 102.05

(c) 36.36

(d) 0.507

5.
6. (a) We know that 1000 mL = 1 L
∴ 625mL = 625/1000 L = 0.625 L
Thus, 625 mL = 0.625 L
(b) We know that 1000 mL = 1 L
∴ 760 mL = 760/1000 L
= 0.760 L = 0.76 L
Thus, 760 mL = 0.7
(c) We know that 1000 mL = 1 L
∴ 11L 125L = 11 L + 125/1000 L
= (11 + 0.125) L = 11.125 L
Thus, 11 L 125 mL = 11.125 L
(d) We know that 1000 mL = 1 L
∴ 7 L 350 mL = 7 L + 350/1000 L
= (7 + 0.350) L = 7.350 L = 7.35 L
Thus, 7L 350 mL = 7.35 L
7. The given decimals are unlike.
∴ Their corresponding like decimals are 3.03, 2.75 and 2.50.
Now neglecting the decimals, we have 303, 275 and 250.
Since, 303 > 275 > 250,
we have 3.03 > 2.75 > 2.50
∴ Ascending order is 2.50 < 2.75 < 3.03
8.
Hence, 5.28 – 1.4 + 3.116 = 6.996
Long Answer:
1. Weight of rice = 15.500 kg
Weight of flour = 25.750 kg
Weight of sugar = 3.250 kg
Total weight of this purchases = 15.500 kg + 25.750 kg + 3.250 kg
= 44.500 kg
We see that the total weight of his purchases is less than 50 kg.

Thus, the total weight 44.500 kg is 5.500 kg less than 50 kg.
2. Weight of apples = 4 kg 900 g
Weight of grapes = 2 kg 600 g
Weight of mangoes = 5 kg 300 g
∴ Total weight of his purchases = 4 kg 900 g + 2 kg 600 g + 5 kg 300 g
= 4.900 kg + 2.600 kg + 5.300 kg
= 12.800 kg
But Rahul can carry a maximum weight of 15 kg.
Thus, more weight that he can carry with him = 15 kg – 12.800 kg

= 2.200 kg
Assertion and Reason Questions:
(1) (d) A is false but R is true
(2) (d) A is false but R is true