ANSWER KEY
Multiple Choice questions:
1. (a) 2 n
2. (b) 3 n
3. (c) 4 n
4. (b) 3 n
5. (a) 2 n
6. (b) 3 n
7. (c) 4 n
8. (a) 2 n
9. (d) 5n
10. (c) 5 n
11. (a) 3 n
12. (c) 5 n
13. (c) 4l
14. (c) 3l
15. (d) 5l
Match The Following:

Fill in the blanks:
1. The value of 2x – 12 is zero, when x = 6.
2. The product of 2 and x is being added to the product of 3 and y is expressed as 2x + 3y.
3. The numerical coefficient of the terms 1/2 xy2 +1/2 xy2 is 1/2.
4. The no. of terms in the expression 3x2y - 4x2 y2 + 1/2 xy2 - 5x is 4.
True /False:
1. True
2. False
3. False
4. True
Very Short Answer:
1. The other letters which give us the same rule as L are T, V and X because the
number of matchsticks required to make each of them is 2.
2. If the given terms are arranged in the ascending order of powers of
x, we get,2x, 5x2, 3x3, 4x4, 7x5.
3. (i) p + 7
(ii) p – 7
(iii) 7p
(iv) p/7
(v) – m – 7
(vi) -5p
(vii) −p/5
(viii) – 5p.
4. Number of pencils to be distributed to each student= 5And, let the number of students in
class be ‘s’. As per the logic, Number of pencils needed =(Number of students in the class) x.
(Number of pencils to be distributed to one student )
So, Number of pencils needed = 5 x s = 5s.
5. The different expressions that can formed are: 2y + 7, 2y – 7, 7y + 2, 7y-2, (y/2)
– 7, (y/7)-2, y – (7/2), y + (7/2)
6. Given expression = 2x – 3y + 4z
If x = 10, y = -12 and z = 11,
The expression becomes, (2 × 10) (3 × -12) + (4 × 11)
= 20 – (-36) + 44
= 20 + 36 + 44
= 100.
7. Let the number be ‘x’.
According to condition, we have x – 6 = 2
By inspections, we have 8 – 6 = 2
∴ x = 8
Thus, the required number is 8.
8. (a) The required expression is y – 3
(b) The required expression is 5 + 3x
9. (a) The required expression is 2 x (x + 4)
(b) The required expression is 1/4 x + 1/3 x
Short Answer:
1. Required number is (3x + 5)
Now we have to subtract y from the result i.e., 3x + 5 – y
2. One house is made of 6 matchsticks i.e. 6 × 1
Two houses are made of 12 matchsticks i.e. 6 × 2
Three houses are made of 18 matchsticks i.e. 6 × 3
∴ Rule is 6n where n represents the number of houses.
3. We know that the three sides of an equilateral triangle are equal.
∴ x + x + x = 3x.
Thus, the required perimeter = 3x units.
4. Given that x = 3
(i) x + 5 = 3 + 5 = 8
(ii) 2x – 3 = 2 x 3 – 3 = 6 – 3 = 3
(iii) x – 7 = 3- 7 = -4
(iv) x/3– 1 =3/3 -1 = 1 – 1 = 0
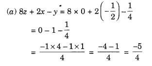
5. (a) Given that: x – 2, y = 3 and z = 5
∴ 2x + y + 2 = 2 x 2 + 3 + 5
= 4 + 3 + 5 = 12
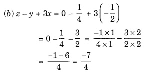
(b) 4x – y + z = 4 x 2 – 3 + 5
= 8 – 3 + 5 = 5 + 5 = 10
(c) x – y + z = 2 – 3 + 5 = -1 + 5 = 4
6. (a) 12 = x – 5 is an equation with a variable x.
(b) 2x > 7 is not an equation because it does not have ‘=’ sign.
(c) x2 = 5 is an equation with a variable x.
(d) 5 + 7 = 3 + 9 is not an equation because it has no variable.
(e) 7 = (11 × 5) – (12 × 4) is not an equation because it has no variable.
7. Let the number be x.
∴ Sum of x and 2 = x + 2
Now by multiplying the sum by 6, we get
6 × (x + 2) = 42
⇒ 6 × x + 6 × 2 = 42
⇒ 6x + 12 = 42
By inspection, we get
6 × 5 + 12 = 42
⇒ 30 + 12 = 42
∴ 42 = 42
So, the required number = 5
8. Each side of a regular hexagon = s
∴ its perimeter = s + s + s + s + s + s = 6s cm

9.
10. By inspection, we have

Thus, the required solution is 6.
Long Answer:
1.


2. Time taken by A to reach Amritsar = 12.00 noon – 6.00 am = 6 hour.
The uniform speed of the car = x km/ hr
∴ Total distance covered by A = Time x speed = 6x km.
∴ Distance between Delhi and Amritsar = (6x + 50) km
3. Anshika’s score in Sanskrit = x
∴ Her marks in Science = 2/3x + 15
∴ Thus, Anshika’s score in Science = 2/3x + 15
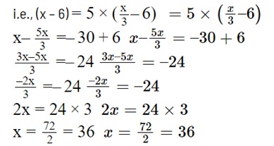
4. Let present age of mother = x years
Deepak’s present age = x/3 years
6 years ago, mother’s age = (x – 6) years
Deepak’s age = (x/3-6) years
According to the problem, 6 years ago, mother’s age is 5 times Deepak age.

Therefore, present age of mother = 36 years and

Assertion and Reason Answers:
(1) (a) Both A and R are true and R is the correct explanation of A
(2) (b) Both A and R are true and R is the correct explanation of A