Recording of Transactions - II
Books of Original Entry
Meaning and Practical System of Accounting
Several transactions take place during the course of a business. Expanding the business means increasing
the number of transactions which are mandatory to be recorded. However, it becomes difficult to record all
the transactions in one journal book. Mostly, business transactions are related to receipt and payment of cash,
sale of goods and their purchase. It is easy to maintain a separate book for each type of transactions such as recording
cash transactions, purchase of goods transactions and sale of goods transaction. This type of book is called a book of
original entry or prime entry. Journal entry is not passed for the transactions recorded in those books but they are posted
to the ledger accounts. This system is known as practical system of accounting.
SubsidiaryBooks
Sub-
divisionofthejournalintovariousbooksrecordingtransactionsofsimilarnatureiscalledsubsidiarybooksor aspecialjournal.
Thebooksmaintainedare
► SimpleCashBook
► DoubleColumnCashBook
► PettyCashBook
► SalesBook
► PurchasesBook
► PurchaseReturnsBook
► SalesReturnsBook
Each book is classified as per the nature of transaction. The following table will precise the kinds of transactions entered
into the different subsidiary books.
.jpg)
Sometimes transactions which cannot be recorded in any of the subsidiary books are recorded in Journal proper.
Main AdvantagesofSubsidiaryBooks
Maintaining the subsidiary books enables us to divide the accounting work among a number ofaccountants/persons.
This enables a person to specialise in one particular type of accounting workforconsiderableperiodof time.Thus,
accountingbecomesmoreefficient.
• Ifthetrailbalancedoesnotagreeortallybecauseoferror,locatinganerroriseasysubsidiarybooksbecausethenumber
oftransactionsis less ascomparedtoajournalbook.
• Asseparatebooksaremaintainedbasedonthenatureofthetransactions,anyinformationrelatedtoaparticulartransactionis
easilymadeavailableatone place.
Cash Book
Cash Book is a book of prime entry in which all transactions related to cash and bank are recorded. The cash and bank
columns are created to enter their respective transactions. In a cash book, all the receipts are recorded on the debit side
and all the payments are recorded on the credit side. Finally, the total payments are deducted from the total receipts to
determine the cash in hand and bank balance. Generally, this is prepared only on a monthly basis.
FeaturesofCash Book
1. Onlycashandbank transactionsarerecordedinthecashbook.
2. Cashandchequereceivedarerecordedonthedebitsidewhilecashandchequepaidarerecordedon thecreditside.
3. Butit recordsonlycashaspectof thetransaction.
4. Simultaneously,itperformsthefunctionofbothjournalandtheledger.
TypesofCash Book
• Simplecashbookor singlecolumncashbook(Cashtransactionsonly)
• Doublecolumnortwo-column cashbook(Cashandbanktransactions)
• Threecolumnortriplecolumncashbook(Cash, bankanddiscount transactions)
Alternatively, discount received and allowed, Cancellation of discount received or allowed due to dishonorof cheque is
recorded through Journal Proper. Additionally firms sometimes also maintain a Petty CashBook.
SimpleCashbook
In a simple cash book, all the receipts of cash are recorded on the left hand side and all the payments arerecordedonrighthandside.
.jpg)
• Dateoftransactioniswritteninthedatecolumn.
• The detail of cash received or paid is written under the name of the account. Initially in a cash bookthe opening balance
of cash is written on the receipt side as ‘To balance b/d’. This is followed only intheexistingbusiness.
• Voucher is a written document in support of a particular transaction. They are receipt voucher andpayment voucher.It has
aserialnumberwhichiswritteninthis column.
• Pagenumberoftheledgeriswritten wheretheamountisposted.
• On the debit side, the amounts received are written and on the credit side the amounts paid are written.
Cash account is an asset account which is debited at the time of receiving cash and it is credited at the time of making
payment. As per the rule, increases in assets are debited and decreases in assets are credited at the time of recording cash
transactions in the cash book. The receipts of cash entered in the debit side column of the cash book is greater than or equal
to the payments of cash entered in the credit side column of the cash book. This difference amount is written on the credit side
as ‘By Balance c/d’ and the total amount is written in the two columns opposite to one another. In order to show the cash balance
in hand at the beginning of the consequent year, the balance is written as ‘To Balance b/d’ on the debit side.
KEY POINTS TO REMEMBER
► Cash account is not opened in the ledger, if the cash book is maintained.
► Cash book is balanced similarly to any other account.
► Simple cash book does not record transactions relating to non-cash, cheque received or given and discount allowed or received.
► All the entries recorded in the simple cash book have corresponding entry which is posted in the ledger.
► Cash paid will not exceed the cash in hand. Hence, the cash book will not have a credit balance.
Enterthefollowingtransactionsinasimplecashbook:
.jpg)
In the Books of ….
SimpleCashBook
.jpg)
KEY POINTS TO REMEMBER
► A transaction in which the party name is not mentioned will be treated as a cash transaction and is recorded in
the cash book. For example, purchase of goods or sale of goods.
► A transaction in which the party name is mentioned will be treated as a credit transaction and is not recorded in
the cash book. For example, purchase of goods from Sheela or sale of goods to Rakesh.
► A transaction in which both the party name and cash are provided will be treated as a cash transaction. For example,
purchase of goods in cash from Reetu or sale goods through cash to Radha.
Double Column Cash Book
A double column cash book is a cash book with two columns on each side of the cash book. Cash transactions are recorded
in one column and bank transactions are recorded in another column; say cash/cheque deposited into bank, cash withdrawn
from bank or issue of cheque. Thus, double column cash book represents cash account and bank account.
.jpg)
Bank account is a personal account which debits the receiver and credits the giver. For example, when cash is deposited in
the bank, here the bank is the receiver, and hence it is debited in the bank column of the cash book. While cash is going out,
it is credited in the cash column of the cash book.
Similarly, when cash is withdrawn from the bank or if a cheque is issued, then the bank is the giver, and hence it is credited
in the bank column of the cash book. While cash is coming in, it is debited in the cash column of the cash book.
Cash columns are balanced in the same way as in the case of a simple cash book. Similar process is followed for balancing
the bank column. Sometimes, the bank may allow the firm to withdraw more than the deposited amount, it is called an overdraft.
Hence, the total of the bank column on the credit side will be higher than the total of the bank column on the debit side. This
difference is written on the debit side as ‘To Balance c/d’ and the totals are written on the debit and credit side opposite to one
another. Finally, this balance is written on the credit side as ‘By Balance b/d’.
• Bank column may have debit or credit balance
• Debit balance in the bank column indicates bank balance and credit balance in the bank column indicates bank overdraft
• Cash column will always have debit balance or nil balance
• It is not necessary to open cash and bank accounts in ledger because cash book with bank column is maintained by a firm
Discount
Cash discount is received when payment is made by cheque or cash. Similarly, cash discount is allowed when payment is
received by cheque or cash. These are recorded by means of a journal entry.
Discount Allowed
• Discount Allowed A/c Dr.
To X’s A/c
• Discount Received
Y’s A/c Dr.
To Discount Received A/c
When cheque is dishonoured in the case of discount allowed or received is written back by passing a journal entry.
• Reversal of Discount Allowed
X’s A/c Dr.
To Discount Allowed A/c
• Reversal of Discount Received
Discount Received A/c Dr.
To Y’s A/c
Following informations are to be noted:
► When capital is introduced in the new business
• If cash is introduced, it will be written in the cash column on the debit side of the cash book and
if cash is deposited into the bank, then it will be written in the bank column as ‘To Capital A/c’.
• If a new cash book is prepared for an existing business, the opening balance is written as ‘To Balance
b/d’.
► Receipts and payments in the business
• All receipts are written on the debit side of the cash in the cash column and cheque in the bank column.
The name of the account under which the payment has been received is written in the particular column.
• All payments are written on the credit side of the cash in the cash column and cheque in the bank column.
► Contra entry
• In a double column cash book, certain transactions affect both cash and bank columns. Here, the balance
of one column will increase and the other balance will decrease. These are entered on both the sides of cash book.
This is known as contra entry.
• For example, when cash is deposited in the bank account, the bank account is debited and the cash account is
credited. The debit aspect is written on the debit side of the bank column and the credit aspect is written on the
credit side of the cash column.
• The letter ‘C’ is written in the ledger folio column to show that these transactions are contra transactions.
• These are not posted in the ledger account.
► Cheque received and deposited in the bank on same day
• The amount is entered in the bank column on the debit side.
► Cheque received but not deposited in the bank on the same day
• This is recorded in the books of account through a journal entry. Cheques in Hand A/c
Dr.
• To Ram A/c (debtor)
• When the cheque received is deposited in the bank, it is recorded through the cash book by entering on the
debit side of the bank column- ‘To Cheques in Hand A/c’
• Thus, the balance in Cheques in Hand A/c will become nil.
► Alternative treatment
• Cheque received but not deposited in the bank on the same day. The cheque is entered in the cash column
on the debit side of the cash book.
• When the cheque is deposited into bank, bank account is debited by writing on the debit side of the bank column
and cash account is credited by writing on the credit side of the cash column.(First treatment is preferred than the
alternative treatment.)
► If the deposit date is not mentioned, it may be assumed that the cheque was received and deposited
in the bank on the same day.
► Cheque deposited into bank dishonoured
• When a cheque received from a customer and deposited in the bank for collection and is returned dishonoured, then
the customer’s account is debited and the bank account is credited.
► Cheque issued by the firm is not paid on presentation
• The cheque is entered in the bank column on the debit side with the name of the party to whom the cheque was issued.
► Endorsed to a third party
• Cheque received may be given to other party to whom payment is to be made. Here, the receipt and endorsement of
cheque is recorded through a journal entry.
• For example, cheque received for ₹20,000 from Ram and endorsed in favour of Arun will be passed through a journal
entry as follows:
Arun A/c Dr. 20,000
To Ram A/c 20,000
(Being the cheque received from Ram endorsed in favour of Arun)
► Cheques deposited by customers directly in the bank are written in the bank column on the debit side.
► Bank charges are paid to the bank for availing bank services by the firm. This is entered in the bank column on
the credit side of the cash book.
► Cash discount allowed or received is recorded by way of a journal entry.
► Trade discounts are not entered separately in the books of account. Net amount is credited to the cash account and
debited to the purchases account.
Bank overdraft
Bank facilitates a firm to withdraw more money than the cash deposited in their account. If the amount withdrawn is in
excess of its own money in the bank, it is called bank overdraft. It is shown as a credit balance because the firm has to pay
that amount to the bank after a certain period. It is recorded on the credit side of the cash book as ‘By Balance b/d’.
More than one bank account
If a firm has more than one bank account, the bank column is divided into different banks to record their individual transactions.
Ledger posting of double column cash book
Following with the entry of double column cash book, transactions are posted into their respective ledger accounts.
• Transactions written on the debit side of the cash book are posted to the credit side in the ledger accounts.
Cash transactions are written as ‘By Cash A/c’ and the bank transactions are written as ‘By Bank A/c’ in the
particulars column of the ledger.
• Transactions written on the credit of the cash book are posted to the debit side in the ledger accounts. Cash
transactions are written as ‘To Cash A/c’ and the bank transactions are written as ‘To Bank A/c’ in the particulars
column of the ledger.
• Contra entries are not posted to a ledger
Petty Cash Book
Petty cash book is a book prepared by a petty cashier for the purpose of recording payment of petty cash expenses. In a
business, there are number of small payments made for purchase of stationary items, stamps and conveyance expenses.
These expenses are not entered in the cash book because it will become difficult to maintain as a whole. Hence, this petty
cash book is prepared to save time of the business head and it is assigned to a petty cashier to keep a track of all these small
expenses.
Recording of petty cash book- A petty cash is given to the petty cashier to make small payments. This is recorded on the credit
side of the cash book as ‘By Petty Cash Account’ and posted to the petty cash ledger accounts on the debit side.
Advantages of Petty Cash Book
• Save time and efforts: It saves the time of the chief cashier to execute his/her duties more effectively. It is possible to
focus on cash transactions which involves large amount of cash.
• Division of work: It enables control over incidents of fraud. The head cashier can effectively handle huge payments
directly and small payments by keeping an accurate check on the petty cashier.
• Convenient: As per the materiality principle, the cash book provides only material and useful information. Hence,
the insignificant information is not maintained in the cash book. Recording of small payments becomes easy as different
expenses are posted to their respective ledger accounts.
System of Petty Cash Book
.jpg)
Ordinary System of Petty Cash: In this system, a petty cashier receives appropriate amount of cash to make
small payments and submits the accounts to the chief cashier regarding all those expenses.
Imprest System of Petty Cash: In this system, a definite amount is given to a petty cashier by the chief cashier in the
beginning of an accounting period. This amount is called imprest amount. The petty cashier makes payment for all expenses
out of the imprest amount. When a major portion of the amount is spent by the petty cashier, she/he can get reimbursement
of the amount spent from the chief cashier. Again, she/he will have the full imprest amount at the beginning of the new period.
This system of paying the amount in the beginning of the period and reimbursing the amount spent at regular intervals is called
imprest system.
.jpg)
Advantages of Imprest System of Petty Cash
• Control over mistakes: The chief cashier keeps an accurate track on petty expenses incurred by petty cashier,
and hence there is control over chances of mistakes.
• Control over petty expenses: The petty cashier cannot spend more than the allocated petty cash, and hence the small
expenses are maintained within the limits of imprest.
• Control over fraud: Petty cashier cannot withdraw cash as and when required under this system. Hence, frauds are
controlled and maintained within the limits of imprest.
Types of Petty Cash
• Simple Petty Cash Book
• Analytical Petty Cash Book
Simple Petty Cash Book
A simple petty cash book is in which any cash, the petty cashier receives, is recorded on the left hand side of the cash column
and any cash, the petty cashier pays out, is entered on the right hand side cash column. Every transaction’s date and particulars
are entered in the same date and particulars column.
Format of Simple Petty Cash Book
.jpg)
Prepare a Simple Petty Cash Book from the following information for the month of February, 2016.
.jpg)
If the imprest amount is ₹9000, then how much amount is the petty cashier entitled to get by the beginning
of next month?
Inthebooksof________
PettyCashBook
.jpg)
Analytical Petty Cash Book
An analytical petty cash book is used for entering receipts of cash on the left hand side and for recording payments
on the right hand side. A separate column is created for entering particular item of expenditures such as conveyance,
telephone and postage. Infrequent expenses are entered in sundries column. These expenses are entered on the right
side of the total payment column and are also entered in the appropriate expense column. Finally, these expenses are
added and posted to the debit side of their respective accounts.
Format of Analytical Petty Cash Book
.jpg)
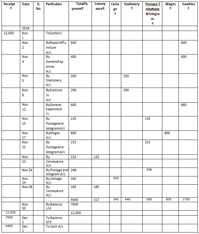
From the following information, prepare an analytical petty cash book on the imprest system for the month of
November, 2016:
.jpg)
Analytical PettyCash Book
.jpg)
Special Purpose Subsidiary Book
.jpg)
All cash transactions are recorded in a cash book, while non-cash transactions are recorded in a subsidiarybook.
Purchases Book
Purchases book is a subsidiary book which records credit purchases of goods i.e. the goods which the firm trade
in. Cash purchases of goods and purchases of any assets are not recorded in the purchase book. Purchases book is
also known as invoice book/bought book. Bills or invoices received from a supplier are the source document for recording
entries in the books. Therefore, goods purchased on credit are recorded in purchases book.
Format of a Purchases Book
.jpg)
► There are 6 columns in purchases book
► Date is written in the first column
► The name of the supplier, name of the articles and the quantities purchased are written in the particulars column
► Invoice of the goods purchased is written in the invoice number column
► When the purchases book is posted to the ledger, the page number of the ledger is written in the ledger folio
► Cost of each article is given in the details column. Trade discount allowed by the seller is deducted from the cost. For example,
Quantity x Price per article… Less: Trade Discount….
________
Add: Expenses ….
________
► The net amount of the invoice is recorded in the extreme right hand column. It shows the total credit purchase made in a
particular period.
.jpg)
Ledger Posting of Purchases Book
The names of the parties from whom the goods were purchased on credit are shown in this
book.These parties are denoted in accounting terms as creditors of the firm. Individual
amounts are posted to the credit of supplier’s account as ‘By Purchases A/c’ in the particulars
column. Total amount of the total credit purchases is debited to the purchase account as ‘To
Sundries as per Purchases Book’ in the particulars column.
Sales Book
Sales book is a subsidiary book which records credit sales of goods i.e. goods which the firm trade in. Cash sales of goods
and sale of any assets are not recorded in sales book. Sales book is also known as day book. Sales invoices or bills issued to
customers are the source document for recording entries in the book. Therefore, goods sold on credit are recorded in sales book.
Format of Sales Book
.jpg)
Entries in the sales book are entered in the same way as in the purchases book.
.jpg)
Ledger Posting of Sales Book
The names of those parties who have purchased goods on credit are shown in this book. Theseparties’ accounts are
debited with their respective accounts. Individual amounts are posted to the debit of customer’s account as ‘To Sales
A/c’ in the particulars column. Total amount of the total credit sales is credited to the sales account as ‘By Sundries as
per Sales Book’ in the particulars column.
Treatment of the following items in purchases book and sales book:
► Central Sales Tax (CST)
This tax is levied on the sales made between multiple state i.e. interstate sales. This is charged by the seller from
the purchaser on net sale value of the product. Sale price less trade discount gives the net sale value of the product.
The seller deposits the tax amount in the government account.
This is entered in an individual column of the purchases book as for the purchase of goods. This cost is a
component of purchase cost only.
This is also entered in an individual column of the sales book and the seller is liable to deposit the tax in
the government account. At regular period, the total of this sales tax is credited to the sales tax account. The
balance is shown as a liability in the balance sheet at the end of the year.
► Value Added Tax (VAT)
This tax is charged by the seller of goods on all local sales i.e. within the state. VAT paid on purchases is set-off
against VAT collected on sales and the balance in the VAT collected account is transferred to the government account.
This is entered in an individual column of the purchases book for VAT paid. The total of the VAT paid
is posted on the debit side of the VAT paid account in the ledger.
This is also entered in an individual column of the sales book and the seller is liable to deposit VAT in the
government account. At regular period, the total of VAT is credited to the VAT account. The balance is shown
as a liability in the balance sheet at the end of the year.
► Freight/Forwarding Charges
The supplier includes the freight, cartage, packing and forwarding charges in the invoice at the time of delivering the goods.
These charges are entered in an individual column of the purchases book. The total invoice price is divided
among cost, freight, packing and forwarding charges. The total of cost column is debited to purchases account and
the total of freight, packing and forwarding charges are debited to freight/packing and forwarding account. The supplier’s
account is credited with the total of invoice price.
These charges are entered in an individual column of the sales book because the seller recovers all these expenses.
This is not a part of sale proceeds, and hence they are individually shown inthe final accounts. Every month, the total
of freight, packing and forwarding charges column is credited to the freight, packing and forwarding charges recovered account.
The customer is debited with the cost of goods (sale value), VAT and freight, packing and forwarding expenses.
Purchases Return or Returns Outward Book
Purchases return book is a subsidiary book which records goods returned to the supplier (i.e. creditors) and which had been
purchased on credit. Purchases return book does not record return of goods purchased on cash nor does it record the return of
any assets purchased. A debit note is issued to the supplier (i.e. creditors) when goods purchased are returned to them. It is the
basis (i.e. source document) for recording an entry in purchase return book. Therefore, goods returned to creditors are recorded
in purchase return book. Return outward book is known as purchases return book.
Debit note is issued by a firm to its suppliers/creditors for debiting his/her account. For example, goods returned to supplier.
Format of Purchases Return Book
.jpg)
Purchases return book is similar to the purchases book except that instead of Invoice No. column, it has Debit Note No. column.
Casting/Totalling of Purchases Return Book
Purchases return book is totalled at the end of month and the purchases return account is credited in the particulars column
and the book is closed for the month
Ledger posting from Purchases Return book
The goods returned are debited to the account of the supplier and credited to the purchases return account. The supplier’s
account is debited as ‘To Purchases Return Account’ in the particular column and the total of purchases return is posted to
the purchases return account as ‘By Sundries as per Purchases Return Book’
Sales Return Book
Sales return book is a subsidiary book which records goods returned by the customers (i.e. debtors) and which had been
sold on credit. Sales return book does not record return of goods sold on cash basis nor does it record return of any assets
sold. A credit note is issued to the customers (i.e. purchaser) when the goods purchased by them is returned. It is the basis
(i.e. source document) for recording an entry in sales return book. Therefore, goods returned by debtors are recorded in sales
return book. Return inward book is known as sales return book.
Credit note is issued by a firm to its customers for crediting his/her account For example, goods returned by the customer.
Format of Sales Return Book
.jpg)
Sales return book is similar to the sales book except that instead of Invoice No. column, it has Credit Note No. column.
Casting/Totalling of Sales Return Book
Sales return book is totalled at the end of month and the sales return account is debited in the particulars column and
the book is closed for the month.
Ledger posting from Purchases Return book
The goods received are credited to the debtor’s account and debited to the sales return account. The debtor’s account
is credited as ‘To Sales Return Account’ in the particular column and the total of sales return is posted to the sales return
account as ‘To Sundries as per Sales Return Book’
.jpg)
Journal Proper
Journal proper records the transactions which cannot be recorded in any other subsidiary book such as cash book,
purchases book, purchases return book, sales book, sales return book, bills receivable book and bills payable book.For
example, credit purchases of fixed assets, goods distributed as free sample, credit sales of fixed assets and depreciation
on fixed assets. Goods destroyed by fire cannot be recorded in any other subsidiary book other than journal proper as it
does not affect cash book, purchase book, sales book, purchases return book, sales return book. Therefore, goods destroyed
by fire will be recorded in a journal proper.
Transactions Recorded in the Journal Proper
► Opening entry: In the beginning of the accounting period, the opening entry is passed in the journal to open the
books by bringing the balances of various assets, liabilities and capital appearing in the balance of the previous accounting period.
► Closing entries: The closing entry is passed in the journal for incomes and expenses transferred to the trading and profit and
loss account.
► Rectifying entries: In the journal of proper, entries are recorded to rectify the errors in the books of original
entry or ledger.
► Transfer entries: Through journal entry, an amount can be transferred from one account to another account.
► Adjustment entries: To bring the unrecorded items in the books of accounts or to update ledger accounts adjusting
entries are passed in the journal proper.
► Other entries
• An entry for cancellation of discount received or discount allowed previously at the time of dishonour.
• Goods which are purchased/sold on credit for non-trading activities.
• Goods which are withdrawn for personal use by the owner of the firm.
• Goods which are distributed for sale promotion.
• Endorsement and bills of exchange.
• Loss of goods by theft, fire or any damage.
KEY POINTS TO REMEMBER
► Purchase book is used for entering only credit purchases and sales book is used for entering only credit sales of goods.
► Cash purchases are not entered in the purchases book while cash sales are not entered in the sales book. These are
recorded in the cash book.
► Purchase of a computer is not entered in the purchases book because the firm does trade it. Also, the sale of furniture
is not recorded in the sales book as the firm does not deal in furniture.
► VAT is calculated on the net price after deducting trade discount. Net value = Sales Value – Trade Discount.
► Adjustment entries always have a dual effect. They affect either trading account or the profit.
.jpg)